应用范围:滤波
种类:电感线圈
品牌:台庆
型号:HPC 3015F-4R7M
封装形式:NR磁胶电感
绕线形式:单层密绕式
导磁体性质:铁氧体磁芯
磁芯形状:工字形
工作频率:低频
安装方式:贴片式
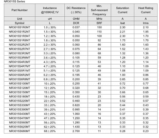
电感量:4.7uH
允许误差:±20%
感抗XL:0.125(Ω)
额定电流:1100(mA)
分布电容:0(F)
标称电压:1(V)
磁胶电感产品特点:
磁胶电感:由于其使用全自动化机器制作,所以又称为自动化屏蔽电感,日本太阳诱电首先推出了该款产品,所以很多人又习惯称为NR电感(太诱的编号)
产品特点:
轻便薄小 大电流低直流阻抗 直接在磁芯上金属化电极
抗跌落冲击强,经久耐用. 采用胶水闭合磁路结构设计,漏磁少,抗EMI能力强
省空间,更省电
采用胶水磁屏蔽结构,比普通磁屏蔽功率电感具有更低的直流电阻,更高的额定电流和更小的尺寸.
产品应用:
适合电源线扼流广泛应用于LED背光板、LED驱动电路等,如LED照明、LCD TV
手机、蓝光DVD机顶盒.笔记本电脑.台式电脑.
服务器.显卡.便携式游戏机.个人导航系统.
多媒体.汽车产品.通讯设备.直流转换.
产品使用:
产品的工作温度范围:-25摄氏度 --- +120摄氏度;
电感尺寸:252012~8040




